पिथौरागढ़ : खासा उत्साह : ग्राम प्रधान पद पर सर्वाधिक हुए नामांकन और बिके नाम निर्देशन पत्र
पहले दिन 193 दावेदारों ने कराए नामांकन, 2469 पत्रों की बिक्री

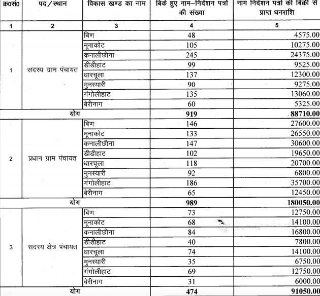
सीमांत जनपद में त्रिस्तरीय पंचायत चुनाव को लेकर नामांकन प्रक्रिया बीते दिवस नामांकन पत्र दाखिल करने के साथ शुरू हो गई। बीते दिवस जिलेभर में कुल 2469 नामांकन पत्रों की बिक्री हुई, जिसमें ग्राम प्रधान पद के लिए सबसे अधिक 989 नामांकन पत्र बिके तो वहीं पहले दिवस 193 दावेदारों ने नामांकन कराया।

ग्राम प्रधान पर सर्वाधिक 119 दावेदारों ने नामांकन कराया। नामांकन पत्रों की बिक्री के क्रम में ग्राम पंचायत सदस्य पद के लिए कुल 919, ग्राम प्रधान के लिए 989 और क्षेत्र पंचायत सदस्य के लिए 474 नामांकन पत्र खरीदे गए, जबकि जिला पंचायत सदस्य पद के लिए 87 नामांकन पत्रों की बिक्री हुई।
इधर नामांकन पत्र दाखिल करने वाले दावेदारों में पहले दिन सदस्य ग्राम पंचायत पद के लिए कुल 32, ग्राम प्रधान पद पर 119, क्षेत्र पंचायत सदस्य पद के लिए 39 और जिला पंचायत सदस्य पद पर 03 दावेदारों ने नामांकन कराया। इधर जिला निर्वाचन अधिकारी व जिलाधिकारी विनोद गोस्वामी ने नामांकन केंद्रों का स्थलीय निरीक्षण कर व्यवस्थाओं का जायजा लिया। इस दौरान उन्होंने संबधित अधिकारियों को आवश्यक दिशा निर्देश भी दिए।
हमसे जुड़ें और अपडेट्स पाएं!
सबसे नए समाचार और अपडेट्स पाने के लिए जुड़े रहें।









